Leetcode 142.环形链表II
Leetcode 142.环形链表II
题目要求
- 给定一个链表的头节点 head ,返回链表开始入环的第一个节点。 如果链表无环,则返回 null。
- 如果链表中有某个节点,可以通过连续跟踪 next 指针再次到达,则链表中存在环。 为了表示给定链表中的环,评测系统内部使用整数 pos 来表示链表尾连接到链表中的位置(索引从 0 开始)。如果 pos 是 -1,则在该链表中没有环。注意:pos 不作为参数进行传递,仅仅是为了标识链表的实际情况。
- 不允许修改 链表。
示例 1:

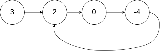
输入:head = [3,2,0,-4], pos = 1
输出:返回索引为 1 的链表节点
解释:链表中有一个环,其尾部连接到第二个节点。
示例2:

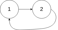
输入:head = [1,2], pos = 0
输出:返回索引为 0 的链表节点
解释:链表中有一个环,其尾部连接到第一个节点。
示例3:

输入:head = [1], pos = -1
输出:返回 null
解释:链表中没有环。
提交
双temp实现交换
设置快慢两个指针和,走2步,每次走一步,如果和没有相遇,则说明该链表中无环,如果能够相遇,则说明有环

相遇时如下图所示:
假设如示意图所示:当和相遇时,从链表头到环入口处距离为,环入口处到相遇处距离为,相遇处到环入口处距离为,指针在环中走了圈后与相遇
则可得和所走距离为:
由于fast速度是slow两倍,则可得:
即:
由于我们想知道x和z的关系,所以我们可以将原式化为:
这样可以发现当(n为其他值同理,只是相当于比多走了个完整的环)时:
这说明当fast和slow相遇时,
这样我们就可以设置两个指针,一个从链表头出发,一个从相遇处出发,当它们相遇时即为环的入口
为什么呢?
我们可以把环展开来看:

因为速度是的两倍,所以当走一圈时,一定走了两圈,它们一定会在其中相遇,也就是一定在在环内的第一圈中相遇,所以
1 | public class Solution { |
