Leetcode 102.二叉树的层序遍历
题目要求
- 给你二叉树的根节点 root ,返回其节点值的 层序遍历 。 (即逐层地,从左到右访问所有节点)。
示例 1:
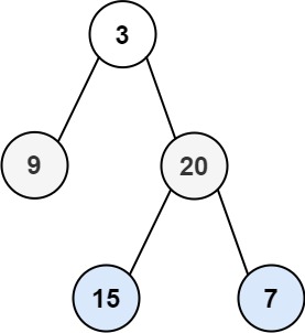
输入:root = [3,9,20,null,null,15,7]
输出:[[3],[9,20],[15,7]]

示例 2:
输入:root = [1]
输出:[[1]]
示例3:
输入:root = []
输出:[]
队列实现层序遍历
1 2 3 4 5 6 7 8 9 10 11 12 13 14 15 16 17 18 19 20 21 22 23 24 25 26 27 28 29 30 31 32 33 34 35 36 37 38 39 40
|
class Solution { public List<List<Integer>> levelOrder(TreeNode root) { List<List<Integer>> res = new ArrayList<>(); if (root == null) return res; Queue<TreeNode> queue = new LinkedList<>(); queue.add(root);
while (!queue.isEmpty()) { List<Integer> list = new ArrayList<>(); int size = queue.size(); while (size > 0) { TreeNode node = queue.poll(); if (node.left != null) queue.add(node.left); if (node.right != null) queue.add(node.right); list.add(node.val); size--; } res.add(list); } return res; } }
|