Leetcode 404.左叶子之和
Leetcode 404.左叶子之和
题目要求
- 给定二叉树的根节点 root ,返回所有左叶子之和。
示例 1:

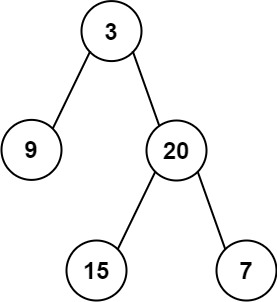
输入: root = [3,9,20,null,null,15,7]
输出: 24
解释: 在这个二叉树中,有两个左叶子,分别是 9 和 15,所以返回 24
示例 2:
输入: root = [1]
输出: 0
后序遍历求左叶子之和
1 | /** |
示例 1:

输入: root = [3,9,20,null,null,15,7]
输出: 24
解释: 在这个二叉树中,有两个左叶子,分别是 9 和 15,所以返回 24
示例 2:
输入: root = [1]
输出: 0
1 | /** |