Leetcode 106.从中序与后序遍历序列构造二叉树
题目要求
- 给定两个整数数组 inorder 和 postorder ,其中 inorder 是二叉树的中序遍历, postorder 是同一棵树的后序遍历,请你构造并返回这颗 二叉树 。
示例 1:

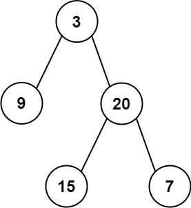
输入:inorder = [9,3,15,20,7], postorder = [9,15,7,20,3]
输出:[3,9,20,null,null,15,7]
示例 2:
输入:inorder = [-1], postorder = [-1]
输出:[-1]
前序遍历
以 后序数组的最后一个元素为切割点,先切中序数组,根据中序数组,反过来再切后序数组。一层一层切下去,每次后序数组最后一个元素就是节点元素。

切割步骤:
- 第一步:如果数组大小为零的话,说明是空节点了。
- 第二步:如果不为空,那么取后序数组最后一个元素作为节点元素。
- 第三步:找到后序数组最后一个元素在中序数组的位置,作为切割点
- 第四步:切割中序数组,切成中序左数组和中序右数组 (顺序别搞反了,一定是先切中序数组)
- 第五步:切割后序数组,切成后序左数组和后序右数组
- 第六步:递归处理左区间和右区间
1 2 3 4 5 6 7 8 9 10 11 12 13 14 15 16 17 18 19 20 21 22 23 24 25 26 27 28 29 30 31 32 33 34 35 36 37 38 39 40 41 42 43 44
| public TreeNode buildTree(int[] inorder, int[] postorder) { if (inorder.length == 0 || postorder.length == 0) return null; return buildHelper(inorder, 0, inorder.length, postorder, 0, postorder.length); }
public TreeNode buildHelper(int[] inorder, int inorderStart, int inorderEnd, int[] postorder, int postorderStart, int postorderEnd) { if (postorderStart == postorderEnd) { return null; } int rootVal = postorder[postorderEnd - 1]; TreeNode root = new TreeNode(rootVal); int midIndex = 0; for (int i = inorderStart; i <= inorderEnd; i++) { if (inorder[i] == rootVal) { midIndex = i; break; } } int leftInorderStart = inorderStart; int leftInorderEnd = midIndex; int rightInorderStart = midIndex + 1; int rightInorderEnd = inorderEnd;
int leftPostorderStart = postorderStart; int leftPostorderEnd = postorderStart + midIndex - inorderStart; int rightPostorderStart = leftPostorderEnd; int rightPostorderEnd = postorderEnd - 1; root.left = buildHelper(inorder, leftInorderStart, leftInorderEnd, postorder, leftPostorderStart, leftPostorderEnd); root.right = buildHelper(inorder, rightInorderStart, rightInorderEnd, postorder, rightPostorderStart, rightPostorderEnd);
return root; }
|