Leetcode 669.修剪二叉搜索树

题目要求

  • 给你二叉搜索树的根节点 root ,同时给定最小边界low 和最大边界 high。通过修剪二叉搜索树,使得所有节点的值在[low, high]中。修剪树 不应该 改变保留在树中的元素的相对结构 (即,如果没有被移除,原有的父代子代关系都应当保留)。 可以证明,存在 唯一的答案 。

  • 所以结果应当返回修剪好的二叉搜索树的新的根节点。注意,根节点可能会根据给定的边界发生改变。

示例 1:

输入:root = [1,0,2], low = 1, high = 2
输出:[1,null,2]

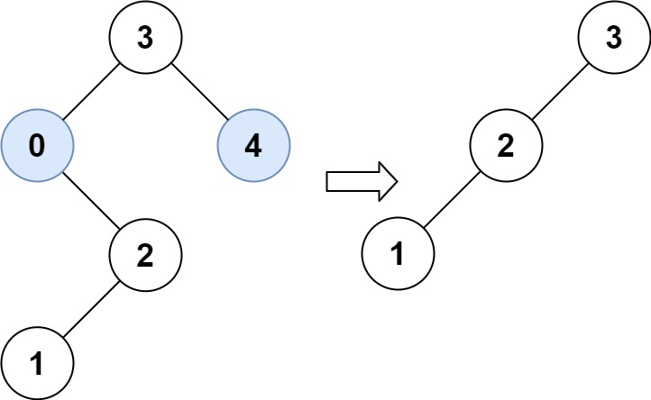
示例 2:

输入:root = [3,0,4,null,2,null,null,1], low = 1, high = 3
输出:[3,2,null,1]

递归法

当root的值小于low时,root的左子树一定不满足条件,但右子树可能有满足条件的值,所以返回右子树的结果;
当root的值大于high时,root的右子树一定不满足条件,但左子树可能有满足条件的值,所以返回左子树的结果;
当root的值在区间内时,递归处理左右子树,最后返回root。

1
2
3
4
5
6
7
8
9
10
11
12
13
14
15
16
17
18
19
20
21
22
23
24
25
26
27
28
/**
* Definition for a binary tree node.
* public class TreeNode {
* int val;
* TreeNode left;
* TreeNode right;
* TreeNode() {}
* TreeNode(int val) { this.val = val; }
* TreeNode(int val, TreeNode left, TreeNode right) {
* this.val = val;
* this.left = left;
* this.right = right;
* }
* }
*/
class Solution {
public TreeNode trimBST(TreeNode root, int low, int high) {
if (root == null) return root;

if (root.val < low) return trimBST(root.right, low, high);
if (root.val > high) return trimBST(root.left, low, high);

root.left = trimBST(root.left, low, high);
root.right = trimBST(root.right, low, high);

return root;
}
}

迭代法(代码随想录)

1
2
3
4
5
6
7
8
9
10
11
12
13
14
15
16
17
18
19
20
21
22
23
24
25
26
27
28
29
30
31
32
33
34
class Solution {
//iteration
public TreeNode trimBST(TreeNode root, int low, int high) {
if(root == null)
return null;
while(root != null && (root.val < low || root.val > high)){
if(root.val < low)
root = root.right;
else
root = root.left;
}

TreeNode curr = root;

//deal with root's left sub-tree, and deal with the value smaller than low.
while(curr != null){
while(curr.left != null && curr.left.val < low){
curr.left = curr.left.right;
}
curr = curr.left;
}
//go back to root;
curr = root;

//deal with root's righg sub-tree, and deal with the value bigger than high.
while(curr != null){
while(curr.right != null && curr.right.val > high){
curr.right = curr.right.left;
}
curr = curr.right;
}
return root;
}
}