Leetcode_hot100_160.相交链表
Leetcode_hot100_160.相交链表
题目要求
- 给你两个单链表的头节点 headA 和 headB ,请你找出并返回两个单链表相交的起始节点。如果两个链表不存在相交节点,返回 null 。
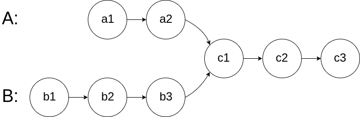
图示两个链表在节点 c1 开始相交:

题目数据 保证 整个链式结构中不存在环。
注意,函数返回结果后,链表必须 保持其原始结构 。
解题思路
- 设第一条链表长度为x + z,第二条链表长度为y + z,其中z为两链表相交部分的长度。

注意到:(x + z)+ y = (y + z)+ x
- 从 出发的指针,走到空节点时让它下一步跳到
- 从 出发的指针,走到空节点时让它下一步跳到
如上图:
- 从 出发的指针,走了 x + z + y = 9 步后到达
- 从 出发的指针,走了 y + z + x = 9 步后到达
如果两条链表不相交
因为 和 的下一个节点都是空节点,可以视作在空节点相交

1 | public class Solution { |
- 时间复杂度:O(m + n)。
- 空间复杂度:O(1)。