Leetcode 654.最大二叉树
题目要求
- 给定一个不重复的整数数组 nums 。 最大二叉树 可以用下面的算法从 nums 递归地构建:
- 创建一个根节点,其值为 nums 中的最大值。
- 递归地在最大值 左边 的 子数组前缀上 构建左子树。
- 递归地在最大值 右边 的 子数组后缀上 构建右子树。
返回 nums 构建的 最大二叉树 。
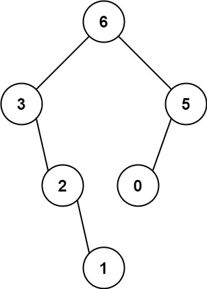
示例 1:

输入:nums = [3,2,1,6,0,5]
输出:[6,3,5,null,2,0,null,null,1]
解释:递归调用如下所示:
- [3,2,1,6,0,5] 中的最大值是 6 ,左边部分是 [3,2,1] ,右边部分是 [0,5] 。
- [3,2,1] 中的最大值是 3 ,左边部分是 [] ,右边部分是 [2,1] 。
- 空数组,无子节点。
- [2,1] 中的最大值是 2 ,左边部分是 [] ,右边部分是 [1] 。
- 空数组,无子节点。
- 只有一个元素,所以子节点是一个值为 1 的节点。
- [0,5] 中的最大值是 5 ,左边部分是 [0] ,右边部分是 [] 。
- 只有一个元素,所以子节点是一个值为 0 的节点。
- 空数组,无子节点。
示例 2:

输入:nums = [3,2,1]
输出:[3,null,2,null,1]
递归
1 2 3 4 5 6 7 8 9 10 11 12 13 14 15 16 17 18 19 20 21 22 23 24 25 26 27 28 29 30 31 32 33 34 35 36 37 38 39 40 41 42 43 44 45 46 47
|
class Solution { public static TreeNode constructMaximumBinaryTree(int[] nums) { if (nums.length == 0) return null; return traversal(nums, 0, nums.length - 1); }
public static TreeNode traversal(int[] nums, int start, int end) { if (start > end) return null; int index = getMax(nums, start, end); TreeNode root = new TreeNode(nums[index]); root.left = traversal(nums, start, index - 1); root.right = traversal(nums, index + 1, end); return root; } public static int getMax(int[] nums, int start, int end) { int max = nums[start]; int index = start; for (int i = start; i <= end; i++) { if (nums[i] >= max) { max = nums[i]; index = i; } } return index; } }
|
代码随想录
1 2 3 4 5 6 7 8 9 10 11 12 13 14 15 16 17 18 19 20 21 22 23 24 25 26 27
| class Solution { public TreeNode constructMaximumBinaryTree(int[] nums) { return constructMaximumBinaryTree1(nums, 0, nums.length); }
public TreeNode constructMaximumBinaryTree1(int[] nums, int leftIndex, int rightIndex) { if (rightIndex - leftIndex < 1) { return null; } if (rightIndex - leftIndex == 1) { return new TreeNode(nums[leftIndex]); } int maxIndex = leftIndex; int maxVal = nums[maxIndex]; for (int i = leftIndex + 1; i < rightIndex; i++) { if (nums[i] > maxVal){ maxVal = nums[i]; maxIndex = i; } } TreeNode root = new TreeNode(maxVal); root.left = constructMaximumBinaryTree1(nums, leftIndex, maxIndex); root.right = constructMaximumBinaryTree1(nums, maxIndex + 1, rightIndex); return root; } }
|