Leetcode 617.合并二叉树

题目要求

  • 给你两棵二叉树: root1 和 root2 。

  • 想象一下,当你将其中一棵覆盖到另一棵之上时,两棵树上的一些节点将会重叠(而另一些不会)。你需要将这两棵树合并成一棵新二叉树。合并的规则是:如果两个节点重叠,那么将这两个节点的值相加作为合并后节点的新值;否则,不为 null 的节点将直接作为新二叉树的节点。

  • 返回合并后的二叉树。

  • 注意: 合并过程必须从两个树的根节点开始。

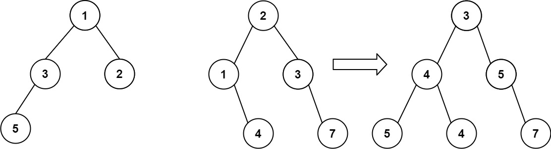
示例 1:

输入:root1 = [1,3,2,5], root2 = [2,1,3,null,4,null,7]
输出:[3,4,5,5,4,null,7]

示例 2:
输入:root1 = [1], root2 = [1,2]
输出:[2,2]

递归,前序遍历合并二叉树

两个二叉树一起遍历,构造新节点

1
2
3
4
5
6
7
8
9
10
11
12
13
14
15
16
17
18
19
20
21
22
23
24
25
26
/**
* Definition for a binary tree node.
* public class TreeNode {
* int val;
* TreeNode left;
* TreeNode right;
* TreeNode() {}
* TreeNode(int val) { this.val = val; }
* TreeNode(int val, TreeNode left, TreeNode right) {
* this.val = val;
* this.left = left;
* this.right = right;
* }
* }
*/
class Solution {
public TreeNode mergeTrees(TreeNode root1, TreeNode root2) {
if (root1 == null) return root2;
if (root2 == null) return root1;

TreeNode root = new TreeNode(root1.val + root2.val);
root.left = mergeTrees(root1.left, root2.left);
root.right = mergeTrees(root1.right, root2.right);
return root;
}
}