Leetcode 701.二叉搜索树中的插入操作
题目要求
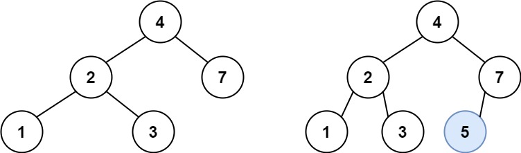
示例 1:

输入:root = [4,2,7,1,3], val = 5
输出:[4,2,7,1,3,5]
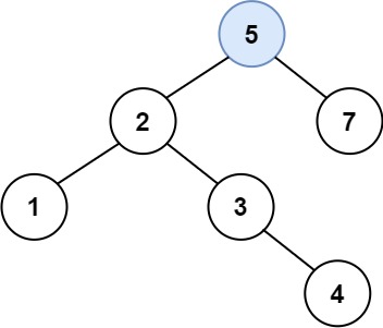
解释:另一个满足题目要求可以通过的树是:

示例 2:
输入:root = [40,20,60,10,30,50,70], val = 25
输出:[40,20,60,10,30,50,70,null,null,25]
示例 3:
输入:root = [4,2,7,1,3,null,null,null,null,null,null], val = 5
输出:[4,2,7,1,3,5]
递归
1 2 3 4 5 6 7 8 9 10 11 12 13 14 15 16 17 18 19 20 21 22 23 24 25 26 27 28 29 30
|
class Solution { public TreeNode insertIntoBST(TreeNode root, int val) { TreeNode newNode = new TreeNode(val); if (root == null) return newNode; if (root.val > val) { root.left = insertIntoBST(root.left, val); }else { root.right = insertIntoBST(root.right, val); } return root; } }
|
迭代法
1 2 3 4 5 6 7 8 9 10 11 12 13 14 15 16 17 18 19 20 21 22 23
| class Solution { public TreeNode insertIntoBST(TreeNode root, int val) { if (root == null) return new TreeNode(val); TreeNode newRoot = root; TreeNode pre = root; while (root != null) { pre = root; if (root.val > val) { root = root.left; } else if (root.val < val) { root = root.right; } } if (pre.val > val) { pre.left = new TreeNode(val); } else { pre.right = new TreeNode(val); }
return newRoot; } }
|